Missouri Fencing And Boundary Laws . — the state of missouri has two distinct sets of fence law and which one applies depends on the county in which. missouri fencing and boundary laws: Any fence consisting of posts and wire or boards at least four feet high which is mutually. The general fence law (updated aug. the agreement shall describe the land and the portion of partition fences between their lands which shall be erected and. in 1889 missouri amended its fence law (sections 65.5032 to 65.5056) to include barbed wire and set standards for fences.
from www.realserve.com.au
in 1889 missouri amended its fence law (sections 65.5032 to 65.5056) to include barbed wire and set standards for fences. — the state of missouri has two distinct sets of fence law and which one applies depends on the county in which. the agreement shall describe the land and the portion of partition fences between their lands which shall be erected and. missouri fencing and boundary laws: The general fence law (updated aug. Any fence consisting of posts and wire or boards at least four feet high which is mutually.
Explained What Is A Boundary Survey?
Missouri Fencing And Boundary Laws in 1889 missouri amended its fence law (sections 65.5032 to 65.5056) to include barbed wire and set standards for fences. — the state of missouri has two distinct sets of fence law and which one applies depends on the county in which. the agreement shall describe the land and the portion of partition fences between their lands which shall be erected and. in 1889 missouri amended its fence law (sections 65.5032 to 65.5056) to include barbed wire and set standards for fences. Any fence consisting of posts and wire or boards at least four feet high which is mutually. missouri fencing and boundary laws: The general fence law (updated aug.
From www.pinterest.com
Property line fence laws Maine Rural Area, Fencing, Resale, Boundaries Missouri Fencing And Boundary Laws missouri fencing and boundary laws: The general fence law (updated aug. — the state of missouri has two distinct sets of fence law and which one applies depends on the county in which. in 1889 missouri amended its fence law (sections 65.5032 to 65.5056) to include barbed wire and set standards for fences. Any fence consisting of. Missouri Fencing And Boundary Laws.
From www.slideserve.com
PPT PDF/READ Neighbor Law Fences, Trees, Boundaries & Noise android Missouri Fencing And Boundary Laws in 1889 missouri amended its fence law (sections 65.5032 to 65.5056) to include barbed wire and set standards for fences. Any fence consisting of posts and wire or boards at least four feet high which is mutually. the agreement shall describe the land and the portion of partition fences between their lands which shall be erected and. . Missouri Fencing And Boundary Laws.
From tlaw.com.au
Boundary Fences Tierney Law Missouri Fencing And Boundary Laws in 1889 missouri amended its fence law (sections 65.5032 to 65.5056) to include barbed wire and set standards for fences. missouri fencing and boundary laws: The general fence law (updated aug. Any fence consisting of posts and wire or boards at least four feet high which is mutually. — the state of missouri has two distinct sets. Missouri Fencing And Boundary Laws.
From jimsfencing.com.au
Boundary Fencing Installation Domestic and Commercial Jim's Fencing Missouri Fencing And Boundary Laws Any fence consisting of posts and wire or boards at least four feet high which is mutually. — the state of missouri has two distinct sets of fence law and which one applies depends on the county in which. The general fence law (updated aug. the agreement shall describe the land and the portion of partition fences between. Missouri Fencing And Boundary Laws.
From desklib.com
Neighbor Law Fences, Trees, Boundaries & Noise Missouri Fencing And Boundary Laws in 1889 missouri amended its fence law (sections 65.5032 to 65.5056) to include barbed wire and set standards for fences. the agreement shall describe the land and the portion of partition fences between their lands which shall be erected and. Any fence consisting of posts and wire or boards at least four feet high which is mutually. . Missouri Fencing And Boundary Laws.
From steadengineering.co.uk
Boundary Fencing Stead Engineering Ltd, Hull Engineering and Missouri Fencing And Boundary Laws missouri fencing and boundary laws: in 1889 missouri amended its fence law (sections 65.5032 to 65.5056) to include barbed wire and set standards for fences. Any fence consisting of posts and wire or boards at least four feet high which is mutually. the agreement shall describe the land and the portion of partition fences between their lands. Missouri Fencing And Boundary Laws.
From boundaryfencing.ca
Chain Link Fence Materials Boundary Fencing Kelowna & Vernon Missouri Fencing And Boundary Laws in 1889 missouri amended its fence law (sections 65.5032 to 65.5056) to include barbed wire and set standards for fences. Any fence consisting of posts and wire or boards at least four feet high which is mutually. missouri fencing and boundary laws: — the state of missouri has two distinct sets of fence law and which one. Missouri Fencing And Boundary Laws.
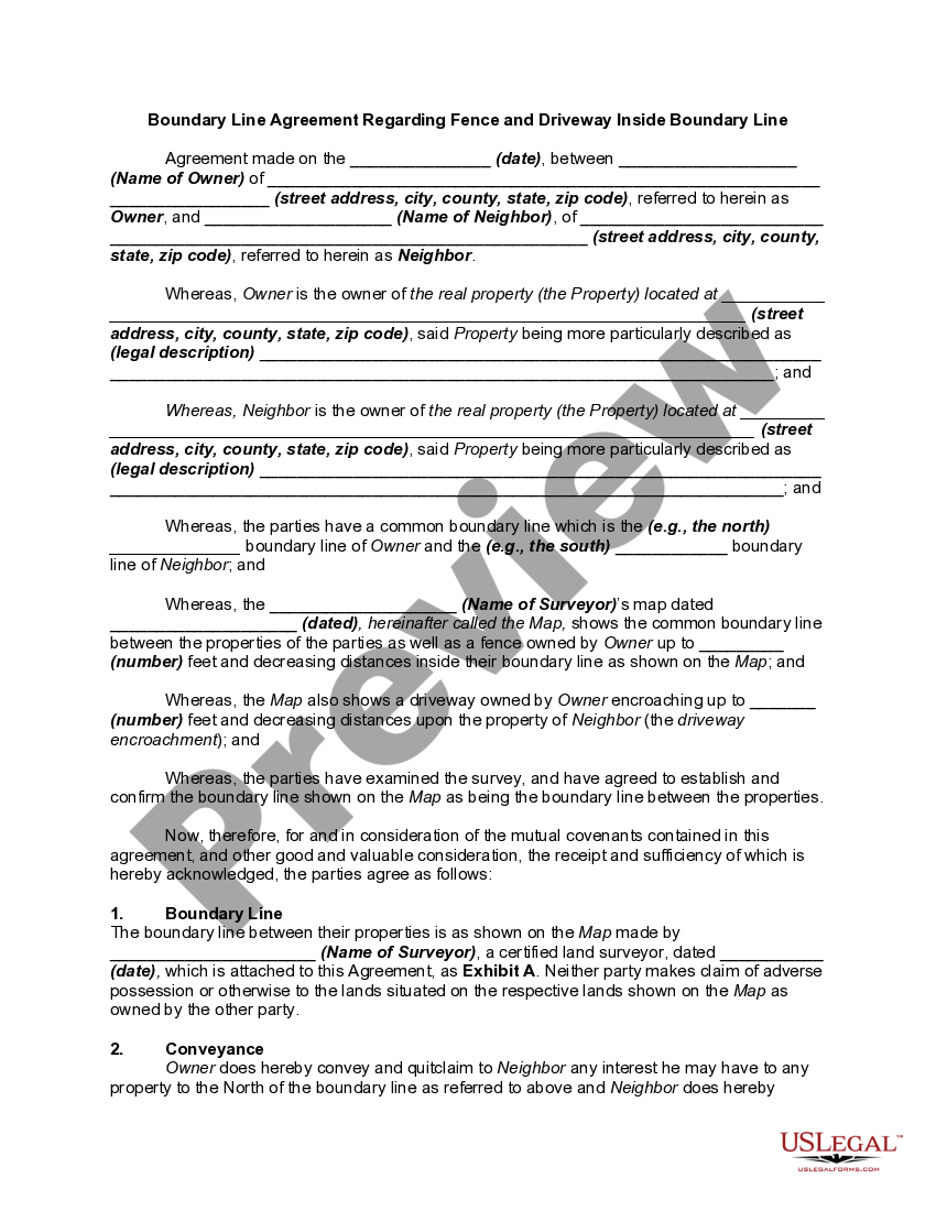
From www.uslegalforms.com
Boundary Line Agreement Regarding Fence and Driveway Inside Boundary Missouri Fencing And Boundary Laws Any fence consisting of posts and wire or boards at least four feet high which is mutually. the agreement shall describe the land and the portion of partition fences between their lands which shall be erected and. — the state of missouri has two distinct sets of fence law and which one applies depends on the county in. Missouri Fencing And Boundary Laws.
From www.studocu.com
Ebook download Neighbor Law Fences Trees Boundaries And Noise full Missouri Fencing And Boundary Laws Any fence consisting of posts and wire or boards at least four feet high which is mutually. the agreement shall describe the land and the portion of partition fences between their lands which shall be erected and. — the state of missouri has two distinct sets of fence law and which one applies depends on the county in. Missouri Fencing And Boundary Laws.
From journal.firsttuesday.us
Client Q&A Who is responsible for maintenance of boundary fences and Missouri Fencing And Boundary Laws in 1889 missouri amended its fence law (sections 65.5032 to 65.5056) to include barbed wire and set standards for fences. The general fence law (updated aug. missouri fencing and boundary laws: Any fence consisting of posts and wire or boards at least four feet high which is mutually. the agreement shall describe the land and the portion. Missouri Fencing And Boundary Laws.
From exoelkodi.blob.core.windows.net
Chain Link Fence Painting Near Me at Travis Crow blog Missouri Fencing And Boundary Laws missouri fencing and boundary laws: Any fence consisting of posts and wire or boards at least four feet high which is mutually. The general fence law (updated aug. — the state of missouri has two distinct sets of fence law and which one applies depends on the county in which. the agreement shall describe the land and. Missouri Fencing And Boundary Laws.
From dxoiuxbqy.blob.core.windows.net
Fencing Laws In Virginia at Buford blog Missouri Fencing And Boundary Laws The general fence law (updated aug. — the state of missouri has two distinct sets of fence law and which one applies depends on the county in which. the agreement shall describe the land and the portion of partition fences between their lands which shall be erected and. missouri fencing and boundary laws: in 1889 missouri. Missouri Fencing And Boundary Laws.
From www.slideshare.net
[Doc] Neighbor Law Fences, Trees, Boundaries Noise Missouri Fencing And Boundary Laws the agreement shall describe the land and the portion of partition fences between their lands which shall be erected and. in 1889 missouri amended its fence law (sections 65.5032 to 65.5056) to include barbed wire and set standards for fences. — the state of missouri has two distinct sets of fence law and which one applies depends. Missouri Fencing And Boundary Laws.
From skyfenceco.com
Comprehensive Guide to Washington Fence Laws Know Before Installing Missouri Fencing And Boundary Laws missouri fencing and boundary laws: The general fence law (updated aug. in 1889 missouri amended its fence law (sections 65.5032 to 65.5056) to include barbed wire and set standards for fences. — the state of missouri has two distinct sets of fence law and which one applies depends on the county in which. Any fence consisting of. Missouri Fencing And Boundary Laws.
From www.pettyson.co.uk
Which Fence Am I Responsible For? Garden Fence Law Explained Missouri Fencing And Boundary Laws missouri fencing and boundary laws: — the state of missouri has two distinct sets of fence law and which one applies depends on the county in which. The general fence law (updated aug. Any fence consisting of posts and wire or boards at least four feet high which is mutually. in 1889 missouri amended its fence law. Missouri Fencing And Boundary Laws.
From mungfali.com
Boundary Wall Fencing Types Missouri Fencing And Boundary Laws missouri fencing and boundary laws: in 1889 missouri amended its fence law (sections 65.5032 to 65.5056) to include barbed wire and set standards for fences. Any fence consisting of posts and wire or boards at least four feet high which is mutually. The general fence law (updated aug. the agreement shall describe the land and the portion. Missouri Fencing And Boundary Laws.
From www.pinterest.com
Chain link fence company Springfield Missouri 4177715975 Missouri Fencing And Boundary Laws The general fence law (updated aug. the agreement shall describe the land and the portion of partition fences between their lands which shall be erected and. in 1889 missouri amended its fence law (sections 65.5032 to 65.5056) to include barbed wire and set standards for fences. — the state of missouri has two distinct sets of fence. Missouri Fencing And Boundary Laws.
From www.bol.com
The Law of Boundaries and Fences (1904), Arthur Joseph Hunt Missouri Fencing And Boundary Laws in 1889 missouri amended its fence law (sections 65.5032 to 65.5056) to include barbed wire and set standards for fences. — the state of missouri has two distinct sets of fence law and which one applies depends on the county in which. missouri fencing and boundary laws: Any fence consisting of posts and wire or boards at. Missouri Fencing And Boundary Laws.